[프로그래머스] 배달(Python, Java)
https://programmers.co.kr/learn/courses/30/lessons/12978
코딩테스트 연습 - 배달
5 [[1,2,1],[2,3,3],[5,2,2],[1,4,2],[5,3,1],[5,4,2]] 3 4 6 [[1,2,1],[1,3,2],[2,3,2],[3,4,3],[3,5,2],[3,5,3],[5,6,1]] 4 4
programmers.co.kr
문제 설명
N개의 마을로 이루어진 나라가 있습니다. 이 나라의 각 마을에는 1부터 N까지의 번호가 각각 하나씩 부여되어 있습니다. 각 마을은 양방향으로 통행할 수 있는 도로로 연결되어 있는데, 서로 다른 마을 간에 이동할 때는 이 도로를 지나야 합니다. 도로를 지날 때 걸리는 시간은 도로별로 다릅니다. 현재 1번 마을에 있는 음식점에서 각 마을로 음식 배달을 하려고 합니다. 각 마을로부터 음식 주문을 받으려고 하는데, N개의 마을 중에서 K 시간 이하로 배달이 가능한 마을에서만 주문을 받으려고 합니다. 다음은 N = 5, K = 3인 경우의 예시입니다.

위 그림에서 1번 마을에 있는 음식점은 [1, 2, 4, 5] 번 마을까지는 3 이하의 시간에 배달할 수 있습니다. 그러나 3번 마을까지는 3시간 이내로 배달할 수 있는 경로가 없으므로 3번 마을에서는 주문을 받지 않습니다. 따라서 1번 마을에 있는 음식점이 배달 주문을 받을 수 있는 마을은 4개가 됩니다.
마을의 개수 N, 각 마을을 연결하는 도로의 정보 road, 음식 배달이 가능한 시간 K가 매개변수로 주어질 때, 음식 주문을 받을 수 있는 마을의 개수를 return 하도록 solution 함수를 완성해주세요.
제한사항
- 마을의 개수 N은 1 이상 50 이하의 자연수입니다.
- road의 길이(도로 정보의 개수)는 1 이상 2,000 이하입니다.
- road의 각 원소는 마을을 연결하고 있는 각 도로의 정보를 나타냅니다.
- road는 길이가 3인 배열이며, 순서대로 (a, b, c)를 나타냅니다.
- a, b(1 ≤ a, b ≤ N, a != b)는 도로가 연결하는 두 마을의 번호이며, c(1 ≤ c ≤ 10,000, c는 자연수)는 도로를 지나는데 걸리는 시간입니다.
- 두 마을 a, b를 연결하는 도로는 여러 개가 있을 수 있습니다.
- 한 도로의 정보가 여러 번 중복해서 주어지지 않습니다.
- K는 음식 배달이 가능한 시간을 나타내며, 1 이상 500,000 이하입니다.
- 임의의 두 마을간에 항상 이동 가능한 경로가 존재합니다.
- 1번 마을에 있는 음식점이 K 이하의 시간에 배달이 가능한 마을의 개수를 return 하면 됩니다.
입출력 예
| N | road | K | result |
| 5 | [[1,2,1],[2,3,3],[5,2,2],[1,4,2],[5,3,1],[5,4,2]] | 3 | 4 |
| 6 | [[1,2,1],[1,3,2],[2,3,2],[3,4,3],[3,5,2],[3,5,3],[5,6,1]] | 4 | 4 |
입출력 예 설명
입출력 예 #1
문제의 예시와 같습니다.
입출력 예 #2
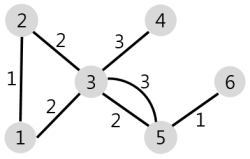
주어진 마을과 도로의 모양은 아래 그림과 같습니다.

1번 마을에서 배달에 4시간 이하가 걸리는 마을은 [1, 2, 3, 5] 4개이므로 4를 return 합니다.
풀이 설명
1. 다익스트라를 이용하여 풀어보았다.
2. 각 노드까지의 최단거리를 저장하는 배열 dist를 선언하고, dijkstra 메서드를 정의해서 dist의 내용을 채운다.
3. dist의 모든 원소는 문제에서 주어진 최대 시간인 1000000으로 초기화하고 시작한다.
(dist의 크기는 노드 번호와 인덱스를 동일하게 하기 위해 N+1로 생성한다.)
4. dist[1]은 노드 1에서 노드 1까지 가는 거리의 최소비용이므로 0으로 초기화한다.
5. [노드까지의 거리, 노드 번호] 형식을 저장할 우선순위큐 pq를 생성하고, 노드 1까지의 거리 0을 저장한다.
(자바에서는 우선순위큐에 리스트를 저장할 수 없으므로, Element 클래스를 만들고 노드까지의 거리와 노드 번호를 필드로 설정하여 Element를 저장하는 방식으로 진행한다.)
6. pq가 비어있지 않다면 계속 반복
6-1. pq의 맨 앞 원소를 꺼내 각각 cost, here 변수에 저장한다.
6-2. 만약 dist[here]이 cost보다 작으면(dist에 저장된 here까지의 거리 비용이 cost보다 작으면) 그냥 넘어간다.
7. road의 원소 탐색(I)
7-1. 만약 road[i]의 출발노드가(road[i][0]) here과 같다면
7-1-1. cost2, there 변수에 road[i][2] + cost, road[i][1]을 저장한다.
(현재 비용에 there노드로 가는 비용 추가, there노드는 현재 road[i]의 도착노드에 해당하는 road[i][1])
7-1-2. 만약 cost2가 dist[there]보다 작다면(dist에 저장된 there까지의 거리 비용이 cost2보다 크면) dist[there]을 cost2로 변경하고, pq 에 [cost2, there]을 추가한다.
7-2. road[i]의 도착노드(road[i][1])로 7-1번과 같은 로직을 한 번 더 수행한다.
8. 6번이 끝나면 완성된 dist 배열을 리턴한다.
Python3 코드
from queue import PriorityQueue
def dijkstra(road, N):
dist = [1000000] * (N + 1)
dist[1] = 0 #시작노드 1은 0
pq = PriorityQueue()
pq.put([0,1])
while not pq.empty():
cost, here = pq.get()
if cost > dist[here]: continue
for i in range(len(road)):
if road[i][0] == here:
cost2, there = road[i][2] + cost, road[i][1]
if cost2 < dist[there]:
dist[there] = cost2
pq.put([cost2, there])
elif road[i][1] == here:
cost2, there = road[i][2] + cost, road[i][0]
if cost2 < dist[there]:
dist[there] = cost2
pq.put([cost2, there])
return dist
def solution(N, road, K):
answer = 0
dist = dijkstra(road, N)
for i in dist:
if i <= K:
answer += 1
return answer
Java 코드
import java.util.PriorityQueue;
import java.util.Arrays;
class Element implements Comparable<Element>{
private int cost;
private int here;
Element(int cost, int here){
this.cost = cost;
this.here = here;
}
public int getCost(){
return cost;
}
public int getHere(){
return here;
}
public int compareTo(Element o){
return cost <= o.cost ? -1 : 1;
}
}
class Solution {
public int[] dijkstra(int N, int[][] road, int start){
int[] dist = new int[N+1];
for(int i=0; i<N+1; i++) dist[i] = 500001;
dist[start] = 0;
PriorityQueue<Element> q = new PriorityQueue<>();
q.add(new Element(0, start));
int cost, here;
int cost2, there;
while(!q.isEmpty()){
cost = q.peek().getCost();
here = q.peek().getHere();
q.poll();
if(cost > dist[here]) continue;
for(int i=0;i<road.length;i++){
if(road[i][0] == here){
cost2 = road[i][2] + cost;
there = road[i][1];
if(cost2 < dist[there]){
dist[there] = cost2;
q.add(new Element(cost2, there));
}
}
else if(road[i][1] == here){
cost2 = road[i][2] + cost;
there = road[i][0];
if(cost2 < dist[there]){
dist[there] = cost2;
q.add(new Element(cost2, there));
}
}
}
}
return dist;
}
public int solution(int N, int[][] road, int K) {
int answer = 0;
int[] dist = dijkstra(N, road, 1);
for(int i : dist)
if(i <= K) answer++;
return answer;
}
}