https://programmers.co.kr/learn/courses/30/lessons/49189
코딩테스트 연습 - 가장 먼 노드
6 [[3, 6], [4, 3], [3, 2], [1, 3], [1, 2], [2, 4], [5, 2]] 3
programmers.co.kr
문제 설명
n개의 노드가 있는 그래프가 있습니다. 각 노드는 1부터 n까지 번호가 적혀있습니다. 1번 노드에서 가장 멀리 떨어진 노드의 갯수를 구하려고 합니다. 가장 멀리 떨어진 노드란 최단경로로 이동했을 때 간선의 개수가 가장 많은 노드들을 의미합니다.
노드의 개수 n, 간선에 대한 정보가 담긴 2차원 배열 vertex가 매개변수로 주어질 때, 1번 노드로부터 가장 멀리 떨어진 노드가 몇 개인지를 return 하도록 solution 함수를 작성해주세요.
제한사항
- 노드의 개수 n은 2 이상 20,000 이하입니다.
- 간선은 양방향이며 총 1개 이상 50,000개 이하의 간선이 있습니다.
- vertex 배열 각 행 [a, b]는 a번 노드와 b번 노드 사이에 간선이 있다는 의미입니다.
입출력 예
| n | vertex | return |
| 6 | [[3, 6], [4, 3], [3, 2], [1, 3], [1, 2], [2, 4], [5, 2]] | 3 |
입출력 예 설명
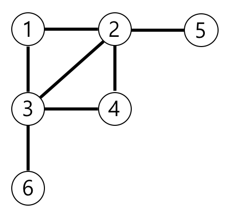
예제의 그래프를 표현하면 아래 그림과 같고, 1번 노드에서 가장 멀리 떨어진 노드는 4,5,6번 노드입니다.

풀이 설명
1. 딕셔너리를 사용하여 각 노드마다 연결된 노드를 리스트로 저장한다.
2. [노드, 비용]을 저장할 stack을 선언하고, [시작노드 1, 자기 자신으로 가는 비용 0]을 삽입한다.
3. 각 노드별로 비용을 저장할 배열 dist를 선언하고, -1로 초기화한다.
4. stack이 빌때까지 반복
4-1. stack의 맨 앞에 있는 [노드번호, 비용]을 꺼낸다.
4-2. dist[노드]가 -1이거나(아직 노드 체크 전이거나) 현재 비용보다 크면, dist[노드]를 현재 비용으로 바꾼다.
4-3. 현재 노드와 연결된 모든 노드 탐색
4-3-1. dist[연결된 다른노드]가 -1이면, stack에 [그 노드 번호, 현재 cost + 1]을 삽입한다.
5. dist에서 가장 큰 수의 개수를 리턴한다.
Python3 코드
def solution(n, edge):
dic = {}
for e in edge:
dic[e[0]] = dic.get(e[0], []) + [e[1]]
dic[e[1]] = dic.get(e[1], []) + [e[0]]
stack = [[1,0]] #시작노드 1과 자기자신으로 가는 비용 0
dist = [-1] * (n + 1)
while stack:
idx, cost = stack.pop(0)
if dist[idx] == -1 or dist[idx] > cost:
dist[idx] = cost
for i in dic[idx]:
if dist[i] == -1:
stack.append([i, cost + 1])
return dist.count(max(dist))
Java 풀이 설명
1. 각 노드마다의 비용을 저장할 배열 arr, 각 노드의 방문 여부를 저장할 배열 visited를 선언한다.
2. stack과 sub 리스트를 생성하고, stack에 시작노드인 1을 삽입한다.
3. visited[1]을 1로 바꾸어 시작노드 1 방문처리한다.
4. stack이 빌때까지 반복
4-1. sub를 클리어한다.
5. edge를 탐색하며 각 노드들이 방문되지 않았고, stack의 노드와 연결되어있다면 sub에 삽입한다.
6. count를 1 더하고, stack을 sub와 동일하게 초기화한다.
7. sub가 빌때까지 반복
7-1. sub의 노드를 하나씩 제거하며 방문하지 않았다면 방문 체크 후, arr[노드]를 count로 바꾼다.
8. 최종 arr에서 가장 큰 수의 개수를 찾아 리턴
Java 코드
import java.util.ArrayList;
class Solution {
public int solution(int n, int[][] edge) {
int answer = 0;
int[] arr = new int[n+1];
int[] visited = new int[n+1];
ArrayList<Integer> stack = new ArrayList<>();
ArrayList<Integer> sub = new ArrayList<>();
stack.add(1);
visited[1] = 1;
int count = 0;
while(stack.size() > 0){
sub.clear();
for(int i=0;i<edge.length;i++){
if(visited[edge[i][0]] != 1 || visited[edge[i][1]] != 1){
if(stack.contains(edge[i][0])){
sub.add(edge[i][1]);
}
else if(stack.contains(edge[i][1])){
sub.add(edge[i][0]);
}
}
}
count++;
stack.clear();
stack.addAll(sub);
while(sub.size() > 0){
int num = sub.get(0);
sub.remove(0);
if(visited[num] == 0){
arr[num] = count;
visited[num] = 1;
}
}
}
int max = 0;
for(int a:arr)
if(a >= max) max = a;
for(int a:arr)
if(a == max) answer++;
return answer;
}
}'Algorithm' 카테고리의 다른 글
| [프로그래머스] 섬 연결하기(Python) (0) | 2021.01.07 |
|---|---|
| [프로그래머스] 단어 변환(Python, Java) (0) | 2021.01.07 |
| [프로그래머스] 단속카메라(Python) (0) | 2021.01.06 |
| [프로그래머스] 디스크 컨트롤러(Python, Java) (0) | 2021.01.06 |
| [프로그래머스] 자물쇠와 열쇠(Python, Java) (0) | 2021.01.06 |